وحدة تثبيت دايود مخصصة ، الصمام الثنائي المثالي المثبت بشكل مستقل مع درع أمان أكريليك شفاف يسمح بمراقبة واضحة لتشغيل الصمام الثنائي مع حماية مكونات الزجاج. يتميز مقبس الرسم التخطيطي ملحوظ لتعزيز الفهم المفاهيمي
وحدة قياس تيار أنود دقيقة: تستخدم وحدة قياس تيار الأنود مضخم تيار صغير ومقياس عرض رقمي بأربعة ونصف ، مع نطاق قياس يصل إلى 0.1uA ~ 20mA ، والتي يمكن قياس تيار الأنود الضعيف بدقة ، بدقة وثبات.
وحدة خرج جهد الأنود المستقر: يستخدم خرج جهد الأنود مصدر طاقة خطي ، وتصل سعة الخرج إلى 0 ~ ، والتي يمكن أن توفر جهد الأنود لصمام الثنائي الفراغي بثبات وكفاءة.
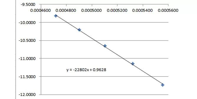
تجربة قياس وظيفة العمل الكهربائية المعدنية (وظيفة العمل).
تعلم الطرق التجريبية الأساسية مثل طريقة قياس الخط المستقيم لريتشاردسون وطريقة قياس النضج وقياس التعويض.
لا. | جزء | المواصفات |
1 | جهاز تجربة وظيفة العمل الكهربائي المعدني | وحدة جهد الأنود: نطاق جهد قابل للتعديل من 0 إلى 160VDC وحدة الأنود الحالية: نطاق القياس من 0 إلى 20mA وحدة الشعيرة الحالية: نطاق قابل للتعديل من 0 إلى 800mA |
2 | صندوق صمام ثنائي فراغي مثالي | مادة خيوط: تنغستين نقي مادة الأنود: نيكل تيار الشعيرة: 8000-A |
لا. | جزء | نموذج | الكمية |
1 | جهاز عمل إلكتروني معدني | BEM-5715 | 1 |
2 | مجموعة صمام ثنائي فراغي مثالية | BEM-5716 | 1 |
3 | 4 من رصاص الموز الأحمر والأحمر | BC-105084 | 2 |
4 | 4 ، رصاص موزة أحمر ، أسود | BC-105083 | 2 |
5 | 4. رصاص موزة أسود (مغمد) ، أسود | BC-105073 | 1 |
6 | 4: رصاص موزة أسود (مغمد) ، أحمر | BC-105074 | 1 |
7 | سلك كهرباء | BC-105075 | 1 |
8 | كابل تمديد دين 8 دبوس | BC-105077 | 2 |
برنامج اكتساب البيانات Capstone
واجهة عالمية
مجس فولطية لاسلكي (2 وحدة)
