وحدة تركيب صمام ثنائي مخصصة
صمام ثنائي فراغي مُثبت بشكل مستقل مع درع أمان شفاف
ملف لولبي مدمج
الملف اللولبي للانعطاف لمحاذاة المجال المغناطيسي بدقة
وحدة قياس عالية الدقة
مكبر صوت على مستوى الميكروبير مع شاشة من أرقام (0.1μA-20mA)
امدادات الجهد مستقرة
مصدر طاقة خطي قابل للضبط (0-41 V DC) ، خالي من التموج
الحصول على البيانات المتقدمة
واجهات باسكو مزدوجة لجمع البيانات في الوقت الفعلي
تحديد وظيفة عمل الإلكترون المعدني
حركة الإلكترون في المجالات الكهربائية والمغناطيسية المشتركة (قياس e/m)
دراسة توزيع فيرمي-ديراك
توصيف الجهد الحالي من الثنائيات فراغ مثالية
لا. | جزء | المواصفات |
1 | وحدة التحكم الرئيسية |
|
2 | امدادات الطاقة العاصمة |
|
3 | صمام ثنائي فراغي |
|
4 | ملف لولبي | وتدور |
# | أجزاء | نموذج | الكمية. |
1 | جهاز عمل إلكتروني معدني | BEM-5715 | 1 |
2 | مزود طاقة تيار مستمر للضبط | BEM-5055 | 1 |
3 | مجموعة صمام ثنائي فراغي مثالية | BEM-5716 | 1 |
4 | ملف لولبي | BC-201026 | 1 |
5 | 2 ، خيوط موزة حمراء (مغمد) | BC-104087 | 2 |
6 | 2: خيوط الموز السوداء (مغمد) | BC-104088 | 2 |
7 | 4 على الرصاص الموز الأحمر | BC-105084 | 1 |
8 | 4 على الرصاص الموز الأسود | BC-105083 | 1 |
9 | 4-رصاص موزة أسود (مغمد) | BC-105073 | 1 |
10 | 4 ، رصاص موزة أحمر (مغمد) | BC-105074 | 1 |
11 | سلك كهرباء | BC-105075 | 1 |
12 | كابل واجهة 8 دبوس | BC-105077 | 2 |
التجربة 1: تحديد وظيفة العمل
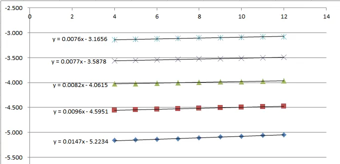
الجدول 1: خصائص تيار الأنود مقابل الجهد ودرجة الحرارة


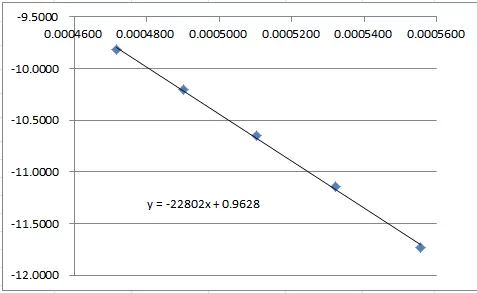
الجدول 2: معلمات تحليل ريتشارد


التجربة 2: قياس نسبة الشحن إلى الكتلة

التجربة 3: دراسة توزيع فيرمي-ديراك


التجربة 4: توصيف الصمام الثنائي

برنامج اكتساب البيانات Capstone
واجهة عالمية
مجس فولطية لاسلكي (2 وحدة)
